全转录组分析(WTA)作为单细胞生物学研究的核心基石,通过捕获细胞内全部 RNA 分子,构建完整基因表达图谱,挖掘转录本表达差异,为解析细胞异质性、揭示细胞状态转变机制、挖掘疾病潜在标志物提供关键数据支撑。WTA 检测的灵敏度、转录组覆盖度及实验灵活性,直接决定了单细胞 RNA 及多组学研究的深度与效率。
新一代 BD OMICS-One WTA Next 试剂盒相较于前代产品实现了跨越式升级:在灵敏度、核心检测性能、数据质量稳定性、样本保存适配性上全面提升,同时优化实验扩展性与数据分析便捷性,构建起 “从样本处理到生物学解读” 的全流程闭环解决方案。
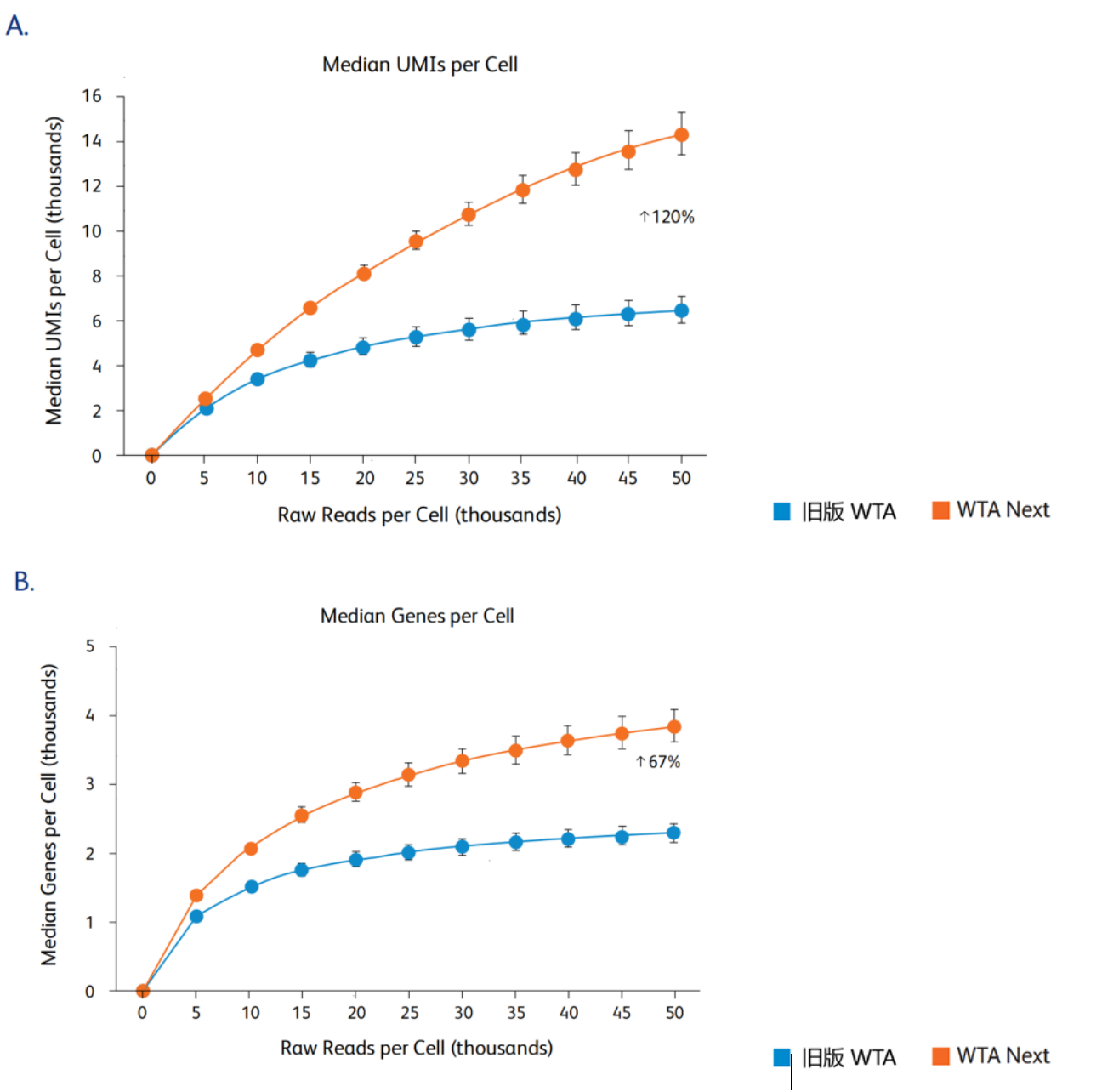
一、超高灵敏度,精准捕获稀有转录本信息
(一)全转录组单独分析
每细胞基因检出量突破3000+,低丰度转录本无处遁形。以 PBMC 样本为例,在相同测序深度下,与旧版 WTA 试剂盒相比,WTA Next 的每细胞中位 UMI 检测数提升 120%,中位基因数增长 67%。其无偏差覆盖整个转录组的特性,让低丰度基因的捕获更轻松,后续差异表达分析的数据分辨率大幅升级,细胞异质性与状态转变的细节清晰呈现,助力还原真实的细胞基因表达图谱,让研究结论更具可靠性。

(二)单细胞多组学分析
协同增效,性能同样卓越。与旧版 BD WTA 试剂盒相比:
- 转录组+蛋白组:WTA Next与 CITE-seq(BD AbSeq、OMICS-One Protein Panels)联合分析,中位基因数提升38%;(冻存PBMC)
- 转录组+免疫组库:WTA Next与BD TCR/BCR联合分析,中位基因数提升81%;(冻存PBMC)
- 转录组+表观组:WTA Next与 BD ATAC-seq联合分析,中位基因数提升156%,WTA Next与 ATAC-seq混样检测中,中位基因数提升126%。无论单细胞还是单细胞核样本均适用。(新鲜PBMC,细胞核)

二、行业领先性能,数据质量更优
(一)竞品对比优势显著
以 PBMC 样本为例,与市场顶级性能的同类竞品试剂盒相比:在 25k、50k 测序深度下,WTA Next 的中位UMI数和基因数均更具优势;25k测序深度时,其基因检出量与竞品持平,且测序深度越高,WTA Next 的性能优势越突出,充分彰显行业领先实力。
(二)背景降噪效果突出
线粒体背景信号会干扰基因表达分析的准确性,增加无效数据占比。以 PBMC 样本为例,与旧版WTA相比,WTA Next 的线粒体背景信号降低 70% 以上(所有重复实验数据均抽样至每个细胞 15k 原始测序读数进行标准化对比,以排除干扰因素)。这一提升有效提高了测序数据的信噪比与利用效率,让研究人员在不增加测序成本的前提下,获得更纯净、更具生物学意义的基因表达数据,为后续分析结果的可靠性筑牢基础。
三、样本保存灵活,适配多元实验场景
(一)短期保存,性能稳定
采用 BD OMICS-Guard 样本保存缓冲液,在 4℃条件下对样本进行短期保存,系统验证显示:新鲜样本与 24 小时保存样本的基因表达相关性 R²=0.98,与 72 小时保存样本的相关性 R²=0.91;且三者的中位 UMI 数和基因数回收效率几乎一致。该特性支持多中心样本收集、样本分批处理及工作流程优化,让实验时间安排更灵活,同时避免因样本保存不当导致的数据质量损失。
(二)长期保存,兼容性佳
样本经专有冷冻保存液冷冻处理后,WTA Next 试剂盒仍能保持与新鲜样本等效的检测性能。在 CITE-seq 工作流程中,新鲜样本与长期冷冻保存样本的中位 UMI 数和基因数几乎完全一致(样本测序深度约为每个细胞 7k 原始读数);在多组学 ATAC-seq 工作流程中,每个细胞 20k 原始测序读数下,新鲜样本与冷冻保存样本的性能表现无显著差异。这一特性为延长研究周期、开展回顾性分析提供了关键技术支持,极大拓宽了试剂盒的应用场景与适用范围。
四、稳健可靠,数据一致性拉满
(一)不同实验操作者一致性验证
两名独立操作者使用同一供体来源的冷冻 PBMC 样本(30,000 个细胞)分别进行实验,评估 WTA Next 试剂盒的操作者间重现性。结果显示,在每个细胞 25k 测序深度下,两名操作者获得的中位 UMI 数和中位基因数几乎完全一致;基因表达相关性分析显示 R²=1.00,表明该试剂盒的性能不受操作者个体技术差异影响,能够在多操作者实验室和协作研究环境中稳定生成可靠数据。
(二)重复实验一致性验证
针对独立 WTA Next 检测及 BD AbSeq 抗体寡核苷酸(CITE-seq)工作流程,进行 3 个重复实验的基因表达相关性分析。结果显示,所有成对重复实验(重复 1 vs 重复 2、重复 1 vs 重复 3、重复 2 vs 重复 3)的相关系数均达 R²=1.00,表明该试剂盒具有出色的技术可重复性,技术变异极小,能够确保不同批次实验结果的一致性与可靠性,为研究结论的验证与推广提供坚实基础。
五、超强可扩展性,适配不同细胞通量
WTA Next 试剂盒具备卓越的可扩展性,在 100 倍范围的细胞通量(1000 个 - 10 万个细胞 / 通道)内,均能提供稳定可靠的检测结果,且无需调整试剂用量或进行繁琐的预实验优化。对比 16,000 个和 100,000 个细胞通量的检测结果,使用相同的每通道试剂体积,中位 UMI 数和基因数等核心性能指标几乎一致,证实试剂用量不会限制不同细胞通量下的性能表现。这一特性使试剂盒能够无缝适配从试点研究到大规模高通量实验的各类需求,显著提升实验设计的灵活性与研究效率。
六、数据分析便捷,快速转化生物学洞见
WTA Next 无缝对接 BD Cellismo™数据可视化工具,支持零代码操作,无需编程即可快速生成发表级图表(如 UMAP 聚类图、小提琴图等),助力研究人员高效挖掘数据价值,快速将实验数据转化为生物学洞见。
BD Cellismo 分析示例:

总结
BD OMICS-One™ WTA Next 试剂盒在灵敏度、核心性能、数据质量、样本保存适配性、数据稳定性、实验扩展性及数据分析便捷性等方面实现全面革新,为单细胞研究构建了一套从样本处理到生物学解读的全流程优化解决方案。
目前,BD OMICS-One™ WTA Next 试剂盒已正式登陆中国市场,库存充足、供货稳定!作为您信赖的科研合作伙伴,LabEx携手碧迪医疗,为您提供一站式技术支持与定制化服务:如需获取详细技术参数、标准化工作流程说明书,或咨询个性化订购方案,欢迎随时联系,我们将为您匹配最贴合科研需求的应用方案,助力您的单细胞研究加速突破、高效产出!





沪公网安备31011502400759号
营业执照(三证合一)